考完STEP的同学可以对答案了!考完试之后想必大家心里都很慌,四处求对答案。为了让同学们早早预估分数,从昨天拿到STEP的考题资料开始,唯寻6位大神齐上阵,在百忙之中抽出时间亲自给同学们做题,写答案解析,分析题目难易程度!来看看这次的STEP1&2答案解析都集结了哪些大神吧!
大神出手就是与众不同,分分钟搞定STEP1&2两座大山!我保证全宇宙再找不出第二份如此详细完备的STEP答案+解题步骤+知识点剖析+难易程度分析了!其详细程度超乎你的想象!解题,我们是专业的!
话不多说,实力都在干货里。



点评
前半题考的是Gradient的定义和直角三角形中各个三角函数的基本定义,中间步骤考察的是求stationary point,要注意别忘记判断是max还是min。难点在于后面的三角函数化简需要一些毅力和耐心。




点评
前三分之一考察Parametric differentiation和切线方程,送分题;
中间部分是一个代数小技巧,其实不难,但是在考场环境对非竞赛类学生会有一些小阻碍;
最后一部分作图中规中矩,还是比较容易完成的,但是如果没有求出上一问的结论此处的作图就会扣分。


点评
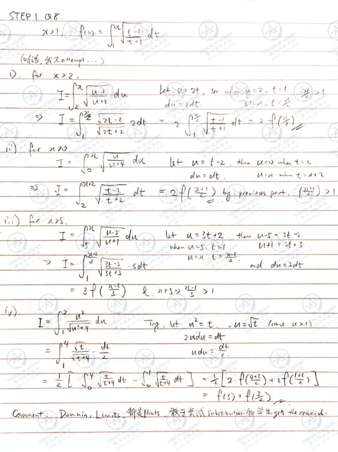
Step1Q3简单的C34积分题,需要对可以积分的函数比较熟悉,跟着提示做就非常简单
















点评
这道题考察moment,(i)(ii)分别对梯子和箱子进行解析,同学要注意对于哪个点求moment,减少运算量。(iii)引入摩擦力,考察基本的受力分解。这道题比较简单,属于标准STEP力学分析加代数运算题。




点评
这道题涉及到的物理是经典抛物线方程,第一个方程show出来之后基本都是考运算。(a)涉及到韦达定理,复合角公式(b)涉及到了二元一次方程不同根需要满足条件和求根公式。(ii)要先把竖直方向最高距离求出来,然后再建立不等式进行比较。



点评
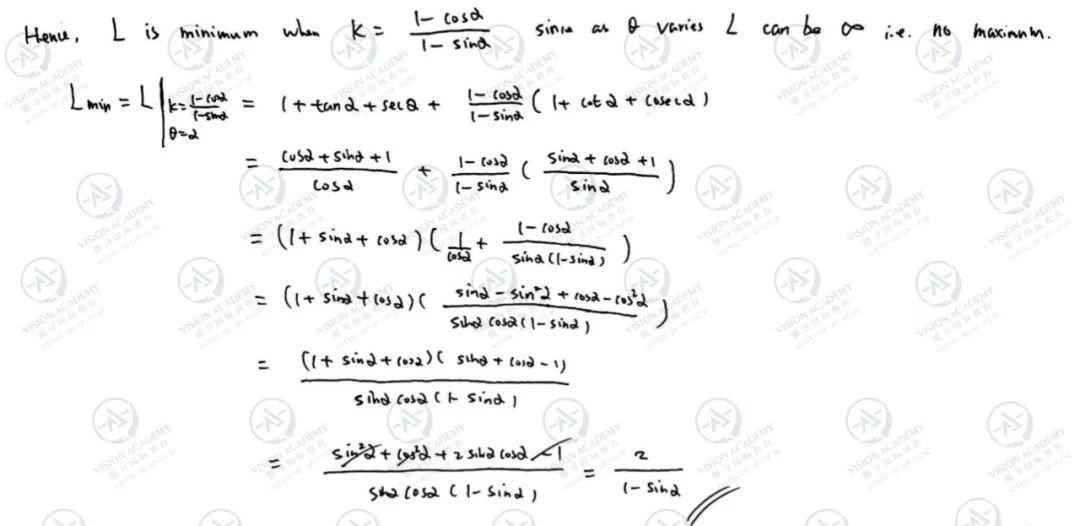
那些怕题目长而放弃做的同学就这样和送分大礼包失之交臂。答案都给了,随便写写都是分数。第二问的情况看起来就很吓人,但人家就问你第二轮以及之前的情况,我就算一个一个列出来也就花了5分钟。
有人会觉得找最值很困难,特别是不熟悉AM-GM,那你可以求导啊,可以二次函数求最值啊。有认真看我答案的同学一定不会对AM-GM的用法陌生,怕就是东西在那里可是没人看。
版权声明:“备战深国交网”除发布相关深国交原创文章内容外,致力于分享国际生优秀学习干货文章。如涉及版权问题,敬请原作者原谅,并联系微信547840900(备战深国交)进行处理。另外,备考深国交,了解深国交及计划参与深国交项目合作均可添加QQ/微信:547840900(加好友时请标明身份否则极有可能加不上),转载请保留出处和链接!
非常欢迎品牌的推广以及战略合作,请将您的合作方案发邮件至v@scieok.cn
本文链接:http://www.scieok.cn/post/907.html

未标注”原创“的文章均转载自于网络上公开信息,原创不易,转载请标明出处
深国交备考 |
如何备考深国交 |
深国交考试 |
深国交培训机构 |
备战深国交 |
联系方式
Copyright www.ScieOk.cn Some Rights Reserved.网站备案号:京ICP备19023092号-1商务合作
友情链接:X-Rights.org |中国校园反性骚扰组织 | 留学百词斩 | 南非好望角芦荟胶 | 云南教师招聘考试网 | 备战韦尔斯利网| 备战Wellesley