MAT真题+
答案+
唯寻竞赛名师解析
小编给您安排上!
(MAT考试分为5道大题,
其中第一道大题Q1由10道选择题组成,
剩余4道大题“Q2,Q3,Q4,Q5”是解答题)
(首先要感谢
杨老师、夏老师,黄老师,
刘老师和吴老师
本次的奋笔答题!!!)
答案选B
Q1A答案:

答案选C
Q1B答案:

答案选D
Q1C:

答案选B
Q1D:

答案选E
Q1E:

然后就有很多很多直线了
答案选C
Q1F:

答案选A
Q1G:

答案选C
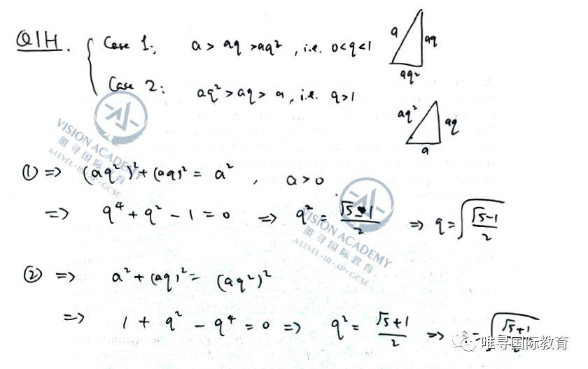
Q1H:

答案选A
Q1I:

答案选D
Q1J:

Q2名师解析

Q2答案:

Q2这道题——
i 等差数列求和。
ii 遵循题目提示即可。
iii 解释很重要,“我一生行事何需向你解释”是会凉的。
iv 请不要问为什么有学生会去算k=6。遵循题目提示即可。
v 指数函数增长的快,很好理解。欲拿满分,必给反例——不给反例,也能成功。
Q3名师解析


Q3答案:
Q3这道题——
i 遵循题目提示即可。
ii iii 可以给快用trivial answer拿分,也可以写更高级的答案加印象分~详见我朋友写的答案。
iv 注意unique和nearest。
v 用上一问。
vi 可以很直观的去show,考官不会要求很多。严格来说是要Cauchy Schwartz 不等式的等号条件的。
Q4名师解析

Q4答案:
Q4这道题——
i 解释很重要。
ii 方法很多,如果是这种方法要注意符号。
iii Intermediate value theorem,每年看破考官但不说破。
最后的小尾巴可以考虑a倍放大镜。
Q5名师解析

Q5答案:

Q5这道题——
i ii 帮助考生理解题意。
iii 提示很明显了。大学常见套路。
iv 从前有个人,四则运算算错了。
v 排列组和干什么,induction啊我求求你们了。
2019年的MAT考试一如既往是一份很优秀的测试题,随着考纲的修改也有一系列新的趋势。
首先,我们对今年考试的整体感觉是技巧性和应试性更强了。
今年考察了许多小竞赛的技巧,既保留了一直很重要的指数对数换底公式,三角函数诱导公式和图形变换,图像求解的数量之外,也加强了像数学归纳法,增加了像Cauchy-Schwarz这样的不等式运算,以及应用了三角形几何性质等等。
其次,今年明显在大题的部分有更多同学们不擅长的解释题,很多同学写完以后也不是很有把握,甚至考试的时候会陷入纠结影响状态。
再次,整体来说,今年的MAT较之于往年难度有所下降,尤其是第五题的难度下降非常明显,难点反而是之前的两道大题中出现difficult评级的小问需要一些发挥才能拿到满分。
最后,考虑到今年有更多顶尖的美国党加入英国申请,今年MAT的参试人数一定有暴涨,而面试邀请的总人数有限,所以分数分布必然会往更高分去倾斜。
建议分数:70分以上
优秀分数:80分以上
稳重分数:85分以上
本篇文章来源于微信公众号:唯寻国际教育
推荐阅读:
版权声明:“备战深国交网”除发布相关深国交原创文章内容外,致力于分享国际生优秀学习干货文章。如涉及版权问题,敬请原作者原谅,并联系微信547840900(备战深国交)进行处理。另外,备考深国交,了解深国交及计划参与深国交项目合作均可添加QQ/微信:547840900(加好友时请标明身份否则极有可能加不上),转载请保留出处和链接!
非常欢迎品牌的推广以及战略合作,请将您的合作方案发邮件至v@scieok.cn
本文链接:http://www.scieok.cn/post/904.html

未标注”原创“的文章均转载自于网络上公开信息,原创不易,转载请标明出处
深国交备考 |
如何备考深国交 |
深国交考试 |
深国交培训机构 |
备战深国交 |
联系方式
Copyright www.ScieOk.cn Some Rights Reserved.网站备案号:京ICP备19023092号-1商务合作
友情链接:X-Rights.org |中国校园反性骚扰组织 | 留学百词斩 | 南非好望角芦荟胶 | 云南教师招聘考试网 | 备战韦尔斯利网| 备战Wellesley