

深圳国际交流学院2022年5月29日入学考试已经结束,试卷的题型,题目等考试详情,欧美公学教研团队做了深入剖析,现公布如下:

英语总结
本次考试虽然使用了全新的考试系统,但是考试题目还是由深国交自主出题,难度和题型同往年考试内容一致。
听力:听力仍然是12篇听力材料,每篇材料对应1-4小问。材料多为日常生活对话,包含运动,健康,医疗,环保等常见话题。整体难度和平时课堂上练习的材料难度相仿,听力是英语考试中相对简单的部分。学员需要根据题干关键词抓取材料有效信息,另外长篇对话需要提炼信息,以及提高概括能力。
阅读:阅读还是四篇长度适中的说明文,话题关于骑行,电影,市政以及基建,比较常见。题目多以选择题为主,主要考察学员对于文本材料及段落大意的理解。学员练习时除了常规积累同义替换词汇和短语部分,还需要增加阅读量,拓展背景知识,另外提高对文本信息的概括能力。
语法和词汇:语法和词汇板块整体难度有所下降,考察内容和往年一致,包括虚拟语气(超高频);时态语态(高频)比较级/最高级等。词汇部分除了常规英英释义,还有根据词根词缀选择词汇。除了考察学员的词汇量,更多考察积累词汇的方法,例如词根记忆法以及联想记忆法。词汇难度范围仍然是四级词汇到雅思、托福词汇。
写作:写作部分和往年考试相比,题型和考试形式一致,难度中等,共三大题,包含小作文,书信和综合写作。小作文话题偏日常,包含环保,运动等。书信仍然为建议信,重点关注热议话题-环保,提出建议以及分析好处。大作文主要还是图表和分析相结合,话题比较简单,但是考察学员对于词汇internship的认识,对比分析图表数据,以及分析相关优缺点。学员需要对图表有一定的分析对比、信息归纳的能力,另外议论文需要按照议论文形式,注意补充相关论据,更加充分论证观点,学员也可以适当增加高分词汇和句式。



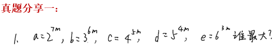
G1数学真题
考试变化情况
考试题全部为填空题,没有选择题,考试时间70分钟,满分100分。


上面真题考查知识点:幂的运算
这类题是以往深国交入学考试的常考题型,也是欧美公学G1数学入学考试培训的重点题型,无论在专题还是模拟卷中都有大量的类似题目,补习过的学生做这类题可以说是不费吹灰之力!



上面真题考查知识点:绝对值的几何意义
这道真题可能出现两类学生两种不同做法
1.分类讨论
利用绝对值零点分类讨论法去绝对值,从而构造了一个分段函数。再利用自变量的取值范围求解每一段函数的最小值,最后求得本题答案。这类学生对绝对值的理解还是比较到位的,也是需要培训和大量练习才能顺利完成
2.绝对值几何意义
这类学生非常机智,直接利用绝对值几何意义能够在几秒的时间内完成这道题,既快又准。这对于很多学生来说还是有一定的难度,需要平时的积累和相关专题的训练。在欧美公学补习过的学生,都学习过《绝对值几何意义》专题,做这类题将会是手到擒来。

G1数学总结
考点总结
圆相切,三角形中三角函数的计算,分式化简、指数计算,不等式,分式方程的应用题,多边形相关的计算,三角形综合题,因式分解,解一元二次方程,数据分析等。
难度分析
整体的题型和计算量相对往年比较适中,没有超纲内容出现,都是常考的知识点和题型。更多的真题就不在此一一展示了。


A1数学真题
考试真题再现


上面这道真题,考察的是指数函数的知识点。
预测这道题会出现两类解法:
1.一部分学生会使用换元法去解题,将该方程转换为一元二次方程,这是比较常规的解法,也是非常不错的;
2.另一类机智的学生会从指数函数的值域着手,利用指数函数恒大于零这一特点快速的判断出等式左边一定是个正数,从而以最快的速度锁定本题答案。这就需要平时的积累和训练了。


上面模拟题是2021年欧美公学A1数学模拟2的24题,和此次考试真题几乎一模一样,也是欧美公学《换元法解方程》专题的经典题型。
A1数学总结
考点总结
直线、函数类型找规律、概率、向量角、图形找规律,对数、圆与圆的位置关系、换元解指数方程、反函数、三角恒等变换、三角函数求最值、基本不等式、空间立体几何等
难度分析
A1试题相较往年考题保持以前难度,也都是常规考试范围,未出现超纲现象。更侧重对学生基础知识的考察,平时基础知识牢固的同学,相信在本次的考试中一定会获得喜人的成绩。

本篇文章来源于微信公众号: 欧美公学
推荐阅读:
版权声明:“备战深国交网”除发布相关深国交原创文章内容外,致力于分享国际生优秀学习干货文章。如涉及版权问题,敬请原作者原谅,并联系微信547840900(备战深国交)进行处理。另外,备考深国交,了解深国交及计划参与深国交项目合作均可添加QQ/微信:547840900(加好友时请标明身份否则极有可能加不上),转载请保留出处和链接!
非常欢迎品牌的推广以及战略合作,请将您的合作方案发邮件至v@scieok.cn
本文链接:http://www.scieok.cn/post/3162.html

未标注”原创“的文章均转载自于网络上公开信息,原创不易,转载请标明出处
深国交备考 |
如何备考深国交 |
深国交考试 |
深国交培训机构 |
备战深国交 |
联系方式
Copyright www.ScieOk.cn Some Rights Reserved.网站备案号:京ICP备19023092号-1商务合作
友情链接:X-Rights.org |中国校园反性骚扰组织 | 留学百词斩 | 南非好望角芦荟胶 | 云南教师招聘考试网 | 备战韦尔斯利网| 备战Wellesley