欧几里得数学竞赛(Euclid Mathematics Contest)是由加拿大滑铁卢大学的数学院为全球12年级的高中生举办的数学竞赛,被称之为“数学界的托福”。

考试内容包括指数对数,三角函数,平面几何,解析几何,数列,排列组合,数论,函数方程与多项式等。竞赛于每年的4月份举行。
欧赛的难度只比高中数学的教学大纲稍稍高出一点,所以想要拿到证书并不难,但是专有术语的英语表达方式一定要熟悉。如果能够在欧赛中取得优异成绩,在申请加拿大甚至北美院校的理科时都可以增加自己的申请优势。
欧赛共计10道题,总分100分。考试时间为150分钟。
题目分为简答题和大题。简答题只需要最终答案,大题重点考察英文数学逻辑书写,需要完整地写出解题过程。
考试过程中可以使用计算器。大部分题目为高中数学难度的题目,后几题为高数难度题目。如果题目前面显示
,说明这题只需要答案不需要过程,如果题目前显示
,说明这题需要完整的过程及答案。
成绩达到全球前25%的考生可以获得Certificates of Distinction荣誉证书。
全球排名前5%可以获得奖牌,如果就读滑铁卢大学的话还可以获得入学奖学金。

报名截止:2022年3月11日
考试日期:
2022年4月5日(North & South America)
2022年4月6日(Outside North & South America)
大家一起来看一道2021年的考试真题,默默感受一下吧!

(a)问只要最终答案,(b)问需要写出详细的过程。
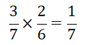
从(a)问的题干中可知包里有3个绿色球,4个红色球,每次从包里拿出一个不放回,当拿出的球中有2个一样的颜色球之后停止,求停止之后至少一个红色球和一个绿色球在桌上的概率。
首先要排除两次拿出的球都是一样颜色的概率,两次都是绿色球的概率为
,两次都是红色球的概率为
,那么剩下的概率就是至少一个红色球和一个绿色球在桌上的概率
。
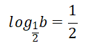
(b)问根据题干可得f(a)=0,也就是
,因式分解可以求出a的值,a=1和a=
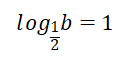
。由于a=g(sinθ),所以g(sinθ)=1或者g(sinθ)=
。那么
或者
,求得b=
或者 b=
。然后就可以求θ的值了,sinθ=
或者sinθ=
,因为θ的取值范围为0到2π之间,所以θ的值为
。
看完讲解的小伙伴觉得难度如何?
本篇文章来源于微信公众号: CrazyAlevel
推荐阅读:
版权声明:“备战深国交网”除发布相关深国交原创文章内容外,致力于分享国际生优秀学习干货文章。如涉及版权问题,敬请原作者原谅,并联系微信547840900(备战深国交)进行处理。另外,备考深国交,了解深国交及计划参与深国交项目合作均可添加QQ/微信:547840900(加好友时请标明身份否则极有可能加不上),转载请保留出处和链接!
非常欢迎品牌的推广以及战略合作,请将您的合作方案发邮件至v@scieok.cn
本文链接:http://www.scieok.cn/post/2853.html

未标注”原创“的文章均转载自于网络上公开信息,原创不易,转载请标明出处
深国交备考 |
如何备考深国交 |
深国交考试 |
深国交培训机构 |
备战深国交 |
联系方式
Copyright www.ScieOk.cn Some Rights Reserved.网站备案号:京ICP备19023092号-1商务合作
友情链接:X-Rights.org |中国校园反性骚扰组织 | 留学百词斩 | 南非好望角芦荟胶 | 云南教师招聘考试网 | 备战韦尔斯利网| 备战Wellesley