
图片来自:youtube













图片来自:唯寻夏导师



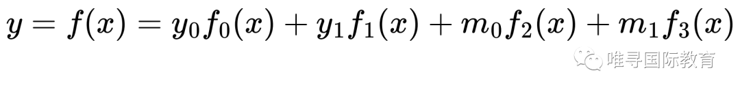
其实这道题的背后和三次贝塞尔曲线有着密切的联系,感兴趣的同学可以去这个网址试试 :
https://cubic-bezier.com/#.17,.67,.84,.39
Wikipedia上的内容更加hardcore,大家有兴趣也可以研究:https://en.wikipedia.org/wiki/Bézier_curve

图片来自:youtube













图片来自:唯寻夏导师



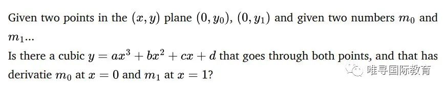
其实这道题的背后和三次贝塞尔曲线有着密切的联系,感兴趣的同学可以去这个网址试试 :
https://cubic-bezier.com/#.17,.67,.84,.39
Wikipedia上的内容更加hardcore,大家有兴趣也可以研究:https://en.wikipedia.org/wiki/Bézier_curve
本篇文章来源于微信公众号:唯寻国际教育
推荐阅读:
版权声明:“备战深国交网”除发布相关深国交原创文章内容外,致力于分享国际生优秀学习干货文章。如涉及版权问题,敬请原作者原谅,并联系微信547840900(备战深国交)进行处理。另外,备考深国交,了解深国交及计划参与深国交项目合作均可添加QQ/微信:547840900(加好友时请标明身份否则极有可能加不上),转载请保留出处和链接!
非常欢迎品牌的推广以及战略合作,请将您的合作方案发邮件至v@scieok.cn
本文链接:http://www.scieok.cn/post/2511.html

未标注”原创“的文章均转载自于网络上公开信息,原创不易,转载请标明出处
深国交备考 |
如何备考深国交 |
深国交考试 |
深国交培训机构 |
备战深国交 |
联系方式
Copyright www.ScieOk.cn Some Rights Reserved.网站备案号:京ICP备19023092号-1商务合作
友情链接:X-Rights.org |中国校园反性骚扰组织 | 留学百词斩 | 南非好望角芦荟胶 | 云南教师招聘考试网 | 备战韦尔斯利网| 备战Wellesley