
2020年度两场考试小结:
1. 写作
由于疫情原因,今年是首次机考,作文由往年的三个模块,变成一个,从写作数量和内容上难度都大大降低。
2. 口语
往年口语是面试,今年改为以录音的形式机考,口语考试时间上缩短了很多,内容的难易程度与面试相近。
3. 听力
往年听力语速很快,今年语速有所下降,学生都能接受。听力分对话和篇章两个部分,对话部分大多是基本的生活场景,比如数字、方位等,是听力中较基础的内容;篇章部分难点基本在词汇和对长句子的理解上,今年7月份这场考试中还出现了乱序题及主旨题,这些都需要考生提高对篇章的整体理解力。
4. 词汇
词汇大多来自六级、雅思或托福。词汇题没有依托语境猜的可能,是单独的词汇,没有语境。
5. 语法
高中语法范围,今年增加了改错题,要求考生对语法更加清晰。
6. 阅读
文章的内容没有特别难,但有些题目的选项比较接近,陷阱较多,要求考生真正读懂文章,而不止是读懂大意。平时要多读不同背景知识的文章,做到对各种背景知识都不陌生,并在平时阅读练习中真正读懂较长的句子。
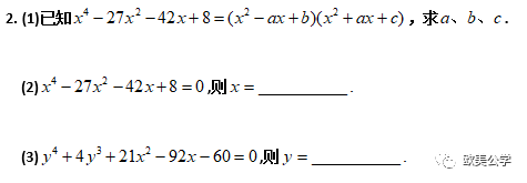
G1真题一:

图像为大圆内有两个大小一样的圆,直径和为大圆直径,两个圆下面有个小圆,与这两个圆均外切,并与大圆内切,求最小的圆与最大的圆的面积比。
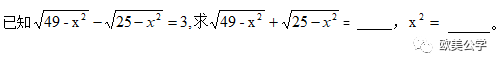
G1真题二:

释:首先都是根式运算,其次都可以灵活的运用平方差解题。
G1真题三:

结合质数来考察一元二次方程的根的问题。
G1总结
整体来看,今年G1考试的侧重点和往常变化不大,考察重点内容包含:二次根式的运算、锐角三角函数、一元二次方程、辅助圆、与圆有关的阴影部分的面积、平均数中位数、规律题等等内容。
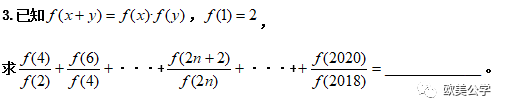
真题第四题:

很经典的题型,通过换元法来找到隐藏关系。
真题第5题:

通过不求方程来化简代数式,也练过了。
真题第6题:

不是选择题,这一题答案,也可以用两种方式表示,这就尴尬了。改卷请注意。
真题第7题:

这一题,用估算来的快哦。
真题第8题:

对圆不太熟的初二同学,这一题就有点难度了。
真题第9题:

这一题分正负两种情况,讨论就行。
真题第10题:

两个为质数,用韦达定理+奇偶性来求解。只有一个答案。
真题第11题:

有同学在纠结要不要用科学计数法来表示,标准是要用科学计数法来表示的。不过题目没有特意说明,那就得看国交老师心情了。
真题第12题:

这几题计算,中规中矩。
G1 数 学
01
试卷结构

02
主要考点
函数:一次函数相关的新定义,二次函数比较大小,复合的取整函数
几何:平行四边形比例问题,圆的阴影部分,三角函数与圆的综合性问题,度数转换
代数:二元一次方程组,代数式化简,因式分解,跟式方程,幂的运算
统计与概率:统计量的计算,概率
03
考试分析
与上次相比,由上次的30道题改成了20道题,题型不变,第一题是选择题,其他都是填空题,时间和分值上不变,依旧是50分钟,100分。
试卷依旧偏向代数运算且技巧性较强,几何应用题和函数题都不多,时间还是相对紧张,要求学生在短时间内迅速找到正确的思路解题,而且整体题型偏灵活,对学生思维要求更高,需要具备一定的灵活应变能力。
04
部分真题分享

A1 数 学
01
试卷结构

(考试总时长为50分钟)
02
主要考点
函数:对数运算,三角函数中的余弦定理,一元二次方程与两角和的正切结合,对数函数与三角函数结合,反三角函数,函数解析式,函数交点;(本部分占题目数量的57%)
概率:分类计数原理与分步计数原理;排列组合中的捆绑法和位置分析法;(本部分占题目数量的20%)
立体几何:直角三角形旋转所成旋转体体积;(本部分占题目数量的7%)
数列:裂项相消(本部分占题目数量的7%)
向量:(本部分占题目数量的7%)
03
考试分析
2019年A1数学考试题型只有选择题(30道),有10道倒扣分题,总分70分。
今年A1数学考试题型包括填空题和少量选择题,没有倒扣分,总分100分。
相比而言,取消了倒扣分,时间由七十分钟缩短到了五十分钟。
每道题的分值增大,有的题目一道题有两三个空,压轴题甚至是有19个空,分数上很容易拉开档次,一两道题很有可能就会跨越一个层次,所以学生对知识点掌握的扎实程度是备考路上衡量数学能力很重要的一项标准。
对学生的做题的速度,计算的准确度,知识点的掌握程度要求更高,要求学生做到做题不慌,思维缜密,计算精准。同时试卷偏向代数运算且技巧性较强,立体几何占比较少。
最大的不同点在于这次考试不能返回答卷,所以对考生的时间规划,心理素质要求都比较高,做题的时候还需要考生自己在草稿纸上作图来解题,需要更多的时间。
04
部分真题分享

A1真题一:
1.将单词International中的所有字母进行排序,其中元音字母都相邻的排列有______种.
A1真题二:

A1真题三:

A1总结
从知识点上看,涉及了函数、排列组合、概率、立体几何旋转体的体积、对数的运算、平面向量(较难)、三角函数(较易)、抽象函数、不等式等重要知识点。
立体几何今年第一次在考纲中出现,涉及题型主要是体积问题,和国内高考数学对立体几何的侧重点是截然不同的。最后一题是多项式的计算,与国际考试p3真题非常相似;排列组合那道题也是国际数学s1经常考的题型,虽是s1的重点题型,但却并不是国内数学排列组合的侧重点,这就对辅导老师提出了更高的要求,不仅要熟知国内高考数学知识模块的侧重点,还应非常熟练国际考试的要求,这样学生考试才能更加得心应手!
不要为惊涛骇浪而折腰,惊涛骇浪并不可怕,熟悉它的脾气就能掌握战胜它的方法;深国交入学考试刚刚过去,但它并没有结束,我们还有许多的事要做,还有许多的东西等着我们总结、反思;只有经历过无数风雨的洗礼,反复地试航,不断发现漏洞与缺陷,你才能掌握识别潜流、暗礁的技巧,才能成长为真正的水手,扬帆远航。
衷心的祝福每一个考生都能考上深国交.
本篇文章来源于网上信息汇集而成
推荐阅读:
版权声明:“备战深国交网”除发布相关深国交原创文章内容外,致力于分享国际生优秀学习干货文章。如涉及版权问题,敬请原作者原谅,并联系微信547840900(备战深国交)进行处理。另外,备考深国交,了解深国交及计划参与深国交项目合作均可添加QQ/微信:547840900(加好友时请标明身份否则极有可能加不上),转载请保留出处和链接!
非常欢迎品牌的推广以及战略合作,请将您的合作方案发邮件至v@scieok.cn
本文链接:http://www.scieok.cn/post/1167.html

未标注”原创“的文章均转载自于网络上公开信息,原创不易,转载请标明出处
深国交备考 |
如何备考深国交 |
深国交考试 |
深国交培训机构 |
备战深国交 |
联系方式
Copyright www.ScieOk.cn Some Rights Reserved.网站备案号:京ICP备19023092号-1商务合作
友情链接:X-Rights.org |中国校园反性骚扰组织 | 留学百词斩 | 南非好望角芦荟胶 | 云南教师招聘考试网 | 备战韦尔斯利网| 备战Wellesley