G1数学
重点考察内容
1.代数运算,类似于解方程和方式化简,幂的运算较多(学生普遍反应计算量大),绝对值方程,分式方程的解,不等式解集,因式分解,平均值综合题,平方公式和立方公式
2.一元一次不等式
3.圆(弦切角定理)和三角函数以及相似三角形
4.二次函数图像:一次函数图像与运动问题,函数应用题,二次函数图像性质
5.数字规律运算(概率综合题),历年考察频率较高的题
G1总结:本轮考试题量30个题目,考试时间50分钟,需要严格把握好时间才能完成,前面基础题应尽量做到又快又准,才能留下充裕时间做后面的难题。与去年相比,今年除了第一题是选择题,其他都是填空题,分值上由原来的70分变成现在的100分,但是取消了倒扣分,在题量都是30道题的情况下,时间由70分钟缩短到了50分钟,对学生的做题的速度,知识点的掌握程度要求更高,同时试卷偏向代数运算且技巧性较强,几何应用题和函数题都比较少。最大的不同点在于这次考试不能返回答卷,所以对考生的时间规划,心理素质要求都比较高,做题的时候还需要考生自己在草稿纸上作图来解题,需要更多的时间。由于考试时间短、题量大,所以学生更应该先易后难,否则会出现大量题目做不完。另外,平时相应训练缺一不可。

A1数学
重点考察内容
1.指数对数运算
2.函数图像交点及相切问题,这类题需要学生对函数图像非常熟悉,通过对相切只有一个交点联想到判别式等于0来快速解题
3.等差数列求和
这类题常规解比较麻烦,如果能使用特殊值法这题会变得异常简单
4.三角函数化简
此题除了考察三角函数公式的准确运用,另外根式化简粗心的学生容易忽略符号
5.本次考试平面向量未涉及,很有可能下次会测试到,其它讲过的内容学生反馈基本考察到
A1总结:本轮考试题量大考试时间短,题目比较灵活,要求学生非常熟练这些知识点才能快速解题,所以平时针对性训练显得非常必要!
来看看题:

这一题,面积转移一下,就是个扇形,面积平行转移在我们的备考书里面,面积的计算里面有做到。

下一题:

这一题,经典的等比性质

下一题,

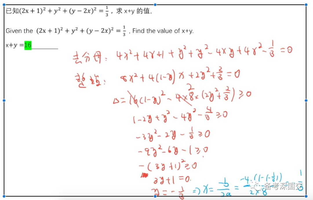
这一题,用判别式法。

下一题,

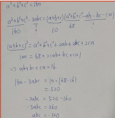
这一题,在我们20题函数里面的第14题,

下一题

下一题
方法1:枚举法,暴力运算
方法2:从千百十个的数分开求和,再求总和,最后求平均值
本篇文章来源于互联网收集整理
推荐阅读:
版权声明:“备战深国交网”除发布相关深国交原创文章内容外,致力于分享国际生优秀学习干货文章。如涉及版权问题,敬请原作者原谅,并联系微信547840900(备战深国交)进行处理。另外,备考深国交,了解深国交及计划参与深国交项目合作均可添加QQ/微信:547840900(加好友时请标明身份否则极有可能加不上),转载请保留出处和链接!
非常欢迎品牌的推广以及战略合作,请将您的合作方案发邮件至v@scieok.cn
本文链接:http://www.scieok.cn/post/1017.html

未标注”原创“的文章均转载自于网络上公开信息,原创不易,转载请标明出处
深国交备考 |
如何备考深国交 |
深国交考试 |
深国交培训机构 |
备战深国交 |
联系方式
Copyright www.ScieOk.cn Some Rights Reserved.网站备案号:京ICP备19023092号-1商务合作
友情链接:X-Rights.org |中国校园反性骚扰组织 | 留学百词斩 | 南非好望角芦荟胶 | 云南教师招聘考试网 | 备战韦尔斯利网| 备战Wellesley